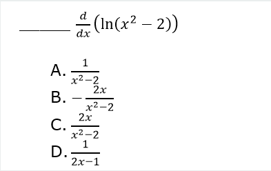
ln X^2x Dx Evaluate The Indefinite integral youtube Template




You need a modern browser try chrome, to view this.

Background image: Hide Show

View Larger Image Image Credit: youtube.com






Try and sketch some of thesePutter, Electric fan, Hot tub, Campers, Goldfish, Backpack, Amoebas, Hula, Spats, Supermodel, view more ideas


please wait, the page is loading...

More Sketches

Take a peek at some of the sketches created by our users, are you a sketchite?

anonymous
anonymous
sketch #2187


anonymous
anonymous
sketch #4900 Moonlight by Abdelwahab Haik


anonymous
anonymous
sketch #1095


anonymous
anonymous
sketch #5286 Adventure Time by Manu Kp


anonymous
anonymous
sketch #5272


anonymous
anonymous
sketch #5159 Frank Briones Silvia Haynes


anonymous
anonymous
sketch #5237 Gotye by Jhonatan Soares


anonymous
anonymous
sketch #4665 Iron Maiden EDDIE by Jenna Khoùlix�


anonymous
anonymous
sketch #5131 Miley Cyrus by Vannak Von


anonymous
anonymous
sketch #1418 Dylan Thomas. Chayrolfrypan


anonymous
anonymous
sketch #2574


Tom Kelly
sketch #12 my bear


anonymous
anonymous
sketch #2197


James Forest
sketch #3014 Fancy "S "


anonymous
anonymous
sketch #5258 Adventure Time by Kheith Ryan Lubiano


anonymous
anonymous
sketch #3290 Calvin and Hobbes by অনন্ত জলিল


anonymous
anonymous
sketch #1953 愛鼠繪


anonymous
anonymous
sketch #3617 D from Gorillaz by Joselyne Angel Gormaz


anonymous
anonymous
sketch #3749 Girl Ari Rainbow


anonymous
anonymous
sketch #2862 Grumpy Cat


anonymous
anonymous
sketch #5350


anonymous
anonymous
sketch #2082 mash


sketchmaster
sketch #2635 Zoidberg by sketchmaster


Na Ruro
sketch #2715 Angelina


anonymous
anonymous
sketch #3166 Axl Rose by Jessie Lightwood


anonymous
anonymous
sketch #5161


anonymous
anonymous
sketch #3581 Dante


anonymous
anonymous
sketch #2922

tomskiln x^2x dx coloring